Повторение теоретического материала:
— как звучит основное свойство дроби?
— что значит сократить дробь?
— какая дробь называется неправильной?
— как выделить целую часть из неправильной дроби?
Замените сумму произведением.
5 + 5 + 5 =
2 + 2 + 2 + 2 + 2 + 2 + 2 =
а + а + а + а + а + а =
Замените произведение суммой
3 • 5 =
8 • 2 =
b • 3 =
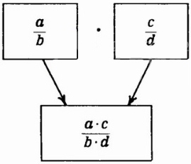
Чтобы умножить дробь на дробь, надо:
- числитель первой дроби умножить на числитель второй дроби и их произведение записать в числитель новой дроби;
- знаменатель первой дроби умножить на знаменатель второй дроби и их произведение записать в знаменатель новой дроби;

Дроби используют в математике, чтобы кратко обозначить часть рассматриваемой величины.
Но если есть часть, то обязательно есть и целое (то, отчего была взята эта часть).
Зная целое, можно найти его часть, указанную соответствующей дробью.
Чтобы найти дробь (часть) от числа, нужно это число умножить на данную дробь.
Рассмотрим задачу.
В книге 160 страниц. Юра прочитал 4/5 книги. Сколько страниц прочитал Юра?
Прежде всего найдём в задаче целое
Посмотрим на дробь (часть) от целого: 4/5.Это — вся книга и в ней всего 160 страниц.
Знаменатель равен 5, значит, целое разделили на 5 частей и мы можем найти сколько страниц составляет 1/5 часть.
- 160 : 5 = 32 (стр.) — составляет 1/5 часть страниц.
- Числитель дроби равен 4, значит взято 4 части.32 • 4 = 128 (стр.) — составляют 4/5 книги.
- Оба действия можно записать кратко, в соответствии с правилом нахождения части от целого.

Ответ: Юра прочитал 128 страниц.
Самостоятельная работа
Чему учились?
Что узнали для себя нового?
Что необходимо еще повторить?















Дарья Колобова